| CAS号 | 103-23-1 | ||
|---|---|---|---|
| 规格 | 25ml | 纯度 | 99% |
| 货号 | B802127-25ml | 货期 | 需咨询 |
| 品牌 | 麦克林 | 库存 | 需咨询 |
| 规格 | 25ml | ||
| 纯度 | 99% | ||
| 货号 | B802127-25ml | ||
| 货期 | --- | ||
| 品牌 | 麦克林 | ||
| 库存 | --- | ||
|
注意:请务必与卖家联系核实单价库存,以确保您的资金安全及交易顺利。 | |||
| 参考价: ¥49.00 元 | |||
| 货号 | 品牌 | 纯度 | 规格 | 参考价 | 货期 |
|---|---|---|---|---|---|
| B430A_100G | 九鼎化学 | 99% | 100g | ¥158.00元 | --- |
| B430A_25G | 九鼎化学 | 99% | 25g | ¥59.00元 | --- |
| B430A_500G | 九鼎化学 | 99% | 500g | ¥399.00元 | --- |
| A0163_25ML | TCI | >98.0%(GC) | 25ml | ¥135.00元 | --- |
| A0163_500ML | TCI | >98.0%(GC) | 500ml | ¥200.00元 | --- |
| B802127-25ml | 麦克林 | 99% | 25ml | ¥49.00元 | --- |
| 物理化学性质 | |||||
|---|---|---|---|---|---|
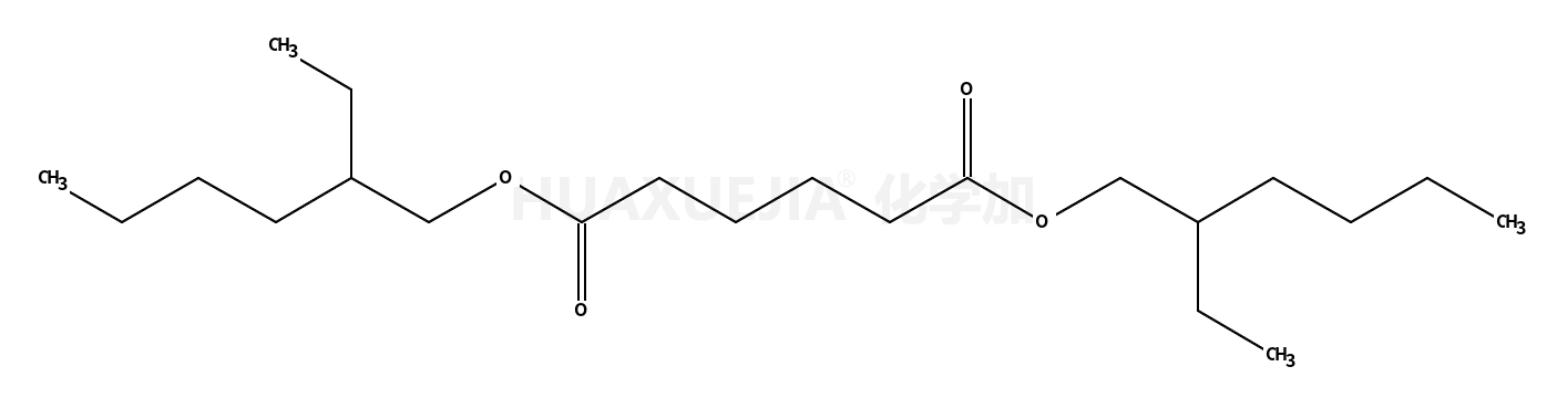
| 英文名 | Hexanedioic acid, 1,6-bis(2-ethylhexyl) ester | ||||
| 中文名 | 己二酸二(2-乙基己)酯 | ||||
| CAS号 | 103-23-1 | 溶解性 | Sparingly Soluble (6.7E-4 g/L) | ||
| 分子量 | 370.57 | 熔点 | -67.8 °C | ||
| 密度 | 0.927±0.06 g/cm3 | 沸点 | 374.4±0.0 °C | ||