欢迎来到合成化学产业资源聚合服务平台化学加!客服热线 020-29116151、29116152

郑州杰克斯化工产品有限公司

958638-35-2

cas:958638-35-2

英文名:

双环己基(三氟甲烷磺酰氧基)硼烷

cas:145412-54-0

英文名:Dicyclohexylboron Triflate

4,5-二甲基邻苯二甲酸二甲酯

cas:17649-59-1

英文名:1,2-Benzenedicarboxylic acid, 4,5-dimethyl-, dimethyl ester

三甲基硅烷

cas:993-07-7

英文名:TRIMETHYLSILANE

4-羟基-N-甲基-1,8-萘酰亚胺

cas:784-03-2

英文名:1H-Benz[de]isoquinoline-1,3(2H)-dione, 6-hydroxy-2-methyl-

1,2,3,4-benzenetetramine

cas:23296-40-4

英文名:1,2,3,4-benzenetetramine

Ethenamine, 2-phenyl-

cas:5694-20-2

英文名:2-phenylethenamine

2,9-二溴-4,7-二苯基-1,10-菲咯啉

cas:1642330-89-9

英文名:

9-溴-10-(1,1-二甲基乙基)-蒽

cas:1379666-15-5

英文名:

1186490-24-3

cas:1186490-24-3

英文名:

2-甲氧基-4-甲基烟酰胺

cas:123506-68-3

英文名:2-methoxy-4-methylpyridine-3-carbaldehyde

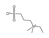
二甲基乙基(3 - 磺酸基丙基)铵盐

cas:160255-06-1

英文名:Dimethylethyl-(3-sulfopropyl)ammonium, Inner Salt

(R)-2-苯基-CBS-恶唑硼烷

cas:145238-45-5

英文名:(3aR)-1,3,3-triphenyl-3a,4,5,6-tetrahydropyrrolo[1,2-c][1,3,2]oxazaborole

供应商信息

企业vip标识

联系人:许伟伟 点击这里给我发消息

号码一: 15981966935

号码二: 0371-86259281

网址:http://www.jacschem.com

VIP企业默认展示联系方式,非VIP企业仅限注册登录用户可见。

  • 公司类型:研发型
  • 成立时间:2016-09-14
  • 注册资本:500万元
  • 所在地区:河南省郑州市