| CAS号 | 83602-88-4 | ||
|---|---|---|---|
| 规格 | 100MG/瓶 | 纯度 | 98% |
| 货号 | BCP14498 | 货期 | 需咨询 |
| 品牌 | 瀚香生物 | 库存 | 需咨询 |
| 规格 | 100MG/瓶 | ||
| 纯度 | 98% | ||
| 货号 | BCP14498 | ||
| 货期 | --- | ||
| 品牌 | 瀚香生物 | ||
| 库存 | --- | ||
|
注意:请务必与卖家联系核实单价库存,以确保您的资金安全及交易顺利。 | |||
| 参考价: 需询盘 | |||
| 货号 | 品牌 | 纯度 | 规格 | 参考价 | 货期 |
|---|---|---|---|---|---|
| BCP14498 | 瀚香生物 | 98% | 100MG/瓶 | 需询盘 | --- |
| 物理化学性质 | |||||
|---|---|---|---|---|---|
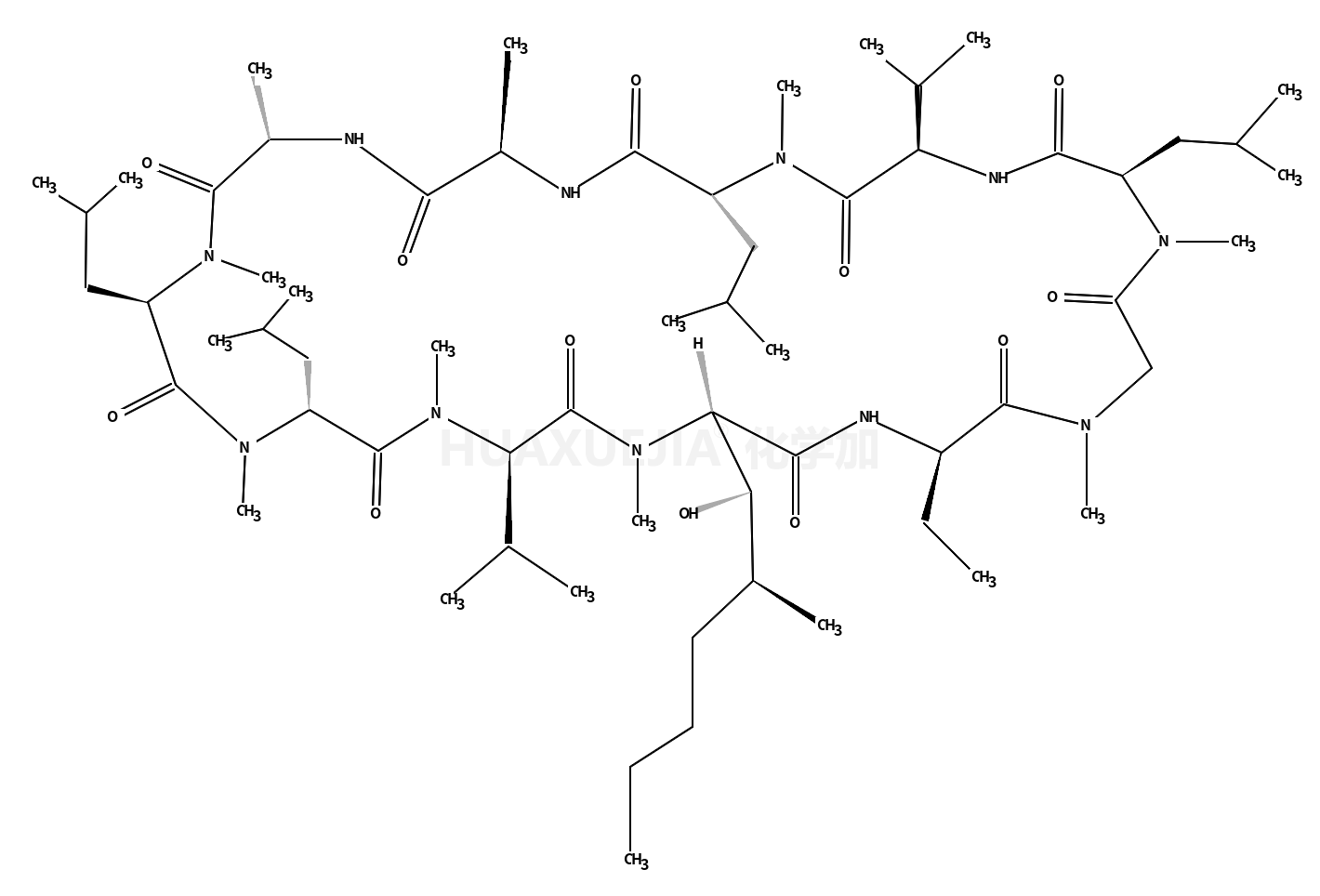
| 英文名 | Cyclosporin A, 5-(N-methyl-D-valine)-6-[(2S,3R,4R)-3-hydroxy-4-methyl-2-(methylamino)octanoic acid]- | ||||
| 中文名 | 双氢环孢菌素H | ||||
| CAS号 | 83602-88-4 | 溶解性 | Very Soluble (1000 g/L) | ||
| 分子量 | 1204.63 | 熔点 | --- | ||
| 密度 | 1.012±0.06 g/cm3 | 沸点 | 1285.3±65.0 °C | ||