欢迎来到合成化学产业资源聚合服务平台化学加!客服热线 020-29116151、29116152

汪君课题组Science子刊:抗炎黄酮分子的手性构建

来源:化学加原创      2022-06-10
导读:近日,香港浸会大学-南方科技大学汪君课题组与香港浸会大学卞兆祥课题组联合报道了一种铜催化的不对称硼氢化反应实现了色烯的高效动力学拆分合成光学纯的黄烷醇类化合物,并通过体外生物实验和RNA测序分析对其抗炎活性进行了探索;研究成果有希望应用于治疗炎性疾病的新型小分子先导化合物和抗炎功效性护肤小分子的开发。文章链接:DOI: 10.1126/sciadv.abm9603

黄烷醇是天然产物和药物化学中常见的杂环化合物,属于多酚类黄酮,在绿茶和水果(如葡萄、蓝莓)中含量丰富,具有抗炎、抗氧化、抗糖化、美白以及预防神经退行性疾病等多样的生物活性。由于其具有两个连续的手性中心,以往构建这类骨架分子的方法是非常有限的,而且需要涉及多步合成,通常利用烯烃为原料,先使用Sharpless不对称双羟基化、不对成环氧化或史一安不对称环氧化反应构建手性中心,再通过多步官能团转化和环化来完成。天然的黄酮多酚往往是不同异构体的混合物,活性各异,难于分离。因此,发展一种简单高效、高对映选择性的策略来构建手性的黄烷醇骨架,不仅具有方法学的意义,也可以进一步研究这类化合物的生物活性,手性与构效关系,是非常有意义的课题。

图1 手性黄酮多酚的结构 (图片来源:Sci. Adv.)

香港浸会大学-南方科技大学汪君课题组长期致力于在黄酮多酚类化合物的骨架构建以及生物活性研究领域开展原创性工作。该团队设计发展了铑催化不对称芳基化反应实现色烯类化合物的动力学拆分和动态动力学拆分(Angew. Chem. Int. Ed201958, 5343-5347),及其它黄酮的不对称官能团反应(ChemCatChem202012, 3202-3206),以及硫代黄酮化合物的构建(Org. Lett. 202022, 1155-1159;Chem. Commun. 2017, 53, 6844-6847;Org. Lett. 201618, 5276-5279),合成具有良好对映选择性的手性黄酮类化合物。香港浸会大学卞兆祥课题组长期从事中医药治疗炎症疾病研究。

近日,该团队报道了铜催化的不对称硼氢化反应实现了色烯的高效动力学拆分合成光学纯的黄烷醇类化合物,并通过体外实验和RNA测序分析对其抗炎活性进行了探索。该合成方法以消旋的色烯(2-苯基-2H-色烯)和廉价易得的频哪醇二硼烷(B2pin2)为原料,通过高效的动力学拆分途径(s factor高达1060)简单地一锅法合成含有两个连续立体中心的手性黄烷醇(大多数产物的ee值都 > 99%, dr > 20:1);该方法合成的手性黄烷醇衍生物在体外抗炎活性测试中表现出较好的抑制炎症因子(IL-1β, IL-6 和 TNF-α)分泌的活性,并在后续的RNA测序中能够显著下调炎症相关通路(IL-17 signaling pathway, PI3K-Akt signaling pathway 和TNF signaling pathway)。

图2 手性黄酮多酚的构建 (图片来源:Sci. Adv.)

作者以消旋的色烯(2-苯基-2H-色烯)和频哪醇二硼烷(B2pin2)为标准底物进行条件优化,选用CuCl为催化剂,叔丁醇钠(NaOtBu)为碱,甲醇(MeOH)作为质子化试剂,四氢呋喃(THF, 0.6 mL)为溶剂,当使用(R, R)-Ph-BPE(L6)为配体,反应温度降至-35 oC时结果最好,能以45%的收率和 >99%的ee值得到黄烷醇产物,以46%的收率和99%的ee值回收未反应的手性原料,动力学拆分因子s值达到1060。随后作者对反应的普适性进行了考察,分别考察了2-位苯环上取代基以及2H-色烯底物苯环的取代基对反应的影响,无论是给电子基团或者吸电子基团的底物都能顺利,最终以令人满意的收率和立体选择性得到了一系列黄烷醇衍生物(绝大部分产物的对映选择性>99%)。为了确认产物的绝对构型,对化合物3m进行单晶培养,通过X-ray单晶衍射图确定为(2R, 3S)构型。

图3 手性黄酮多酚底物的拓展 (图片来源:Sci. Adv.)

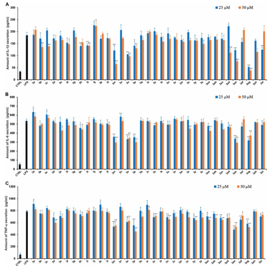
此外,作者提出了铜催化2-取代2H-色烯类化合物的不对称硼氢化反应可能的催化循环路径。随后,作者通过建立LPS诱导的小鼠单核巨噬细胞(RAW264.7)炎症模型,用ELISA法测定炎症因子(IL-1β, IL-6 和 TNF-α)分泌量,评价化合物的体外抗炎活性。结果显示,大部分合成得到的黄烷醇衍生物能够在一定程度上抑制炎症因子的分泌,其中,化合物(3m, 3o, 3p, 3ae 和 3ag)的抗炎活性最为突出(图4)。为了研究黄烷醇衍生物与炎症相关的转录靶点和可能的细胞信号通路,作者挑选出上述5个化合物处理的巨噬细胞进行了RNA测序分析。结果表明,化合物3ag能够显著下调多个炎症相关基因,包括IL-17、PI3K-Akt、TNF等多个关键信号通路,这些通路与多种重大慢性炎症性疾病的发生密切相关,如类风湿性关节炎和炎症性肠病等。

图4 黄烷多酚对体外促炎细胞因子分泌的影响(图片来源:Sci. Adv.)

最后,为了评价黄烷醇不同构型对于抗炎活性的影响,作者选取了其中5组不同构型的化合物以及其消旋体混合物,发现不同构型的黄烷醇的抗炎活性明显不同,同时单一构型的(2R, 3S)-黄烷醇要优于消旋体以及其(2 S, 3 R)-对映异构体(图5)。这些结果表明,手性在生物活性分子与其靶标之间的识别中起了重要作用,并且光学纯的黄烷醇总是比其外消旋混合物表现出更高的抑制率。

 

图5 不同构型的黄酮多酚对IL-1β分泌的抑制率

小结:本文通过铜催化的不对称硼氢化反应实现了色烯的高效动力学拆分合成光学纯的黄烷醇衍生物,该催化体系条件温和,操作简单,具有非常好的官能团包容性和底物普适性;并通过体外实验和RNA测序分析对黄烷醇衍生物的抗炎活性进行了探索,筛选得到了几个具有潜力的抗炎活性分子,在接下来的工作中开发出应用于治疗炎性疾病的新型小分子手性先导化合物和抗炎功效性护肤小分子的开发。值得一提的是,汪君课题组前期已经将构建得到的手性黄酮多酚小分子应用于化妆品护肤成分的开发,研发成果建立了有机功效型护肤品牌“Wood Miracle”和成分党科普型公众号「南科微木」。

论文信息: 

汪君课题组博士后杨清镜和香港浸会大学-南方科技大学联合培养博士研究生王子豪为本文共同第一作者,香港浸会大学汪君副教授和卞兆祥讲座教授为本文通讯作者。

Asymmetric Synthesis of Flavanols via Cu-Catalyzed Kinetic Resolution of Chromenes and Their Anti-inflammatory Activity

Qingjing Yang, Zihao Wang, Catherine Hong Huan Hor, Haitao Xiao, Zhaoxiang Bian* and Jun (Joelle) Wang* 

Sci. Adv., 2022DOI: 10.1126/sciadv.abm9603

汪君课题组信息:https://chem.hkbu.edu.hk/junwang

卞兆祥课题组信息http://www.innohkcdd.com

参考资料:https://mp.weixin.qq.com/s/VhBCEqqZfB_q3quERwv3aA


声明:化学加刊发或者转载此文只是出于传递、分享更多信息之目的,并不意味认同其观点或证实其描述。若有来源标注错误或侵犯了您的合法权益,请作者持权属证明与本网联系,我们将及时更正、删除,谢谢。 电话:18676881059,邮箱:gongjian@huaxuejia.cn